新增21个大学本科专业,怎么选择?
时间:2023-05-18
浏览: 2623
近日,教育部发布最新《普通高等学校本科专业目录》,新增21种新专业,撤销925个专业,引起社会热议。本次备案、审批和调整的专业,将列入相关高校2023年本科招生计划。
新增专业和被撤销专业有哪些?
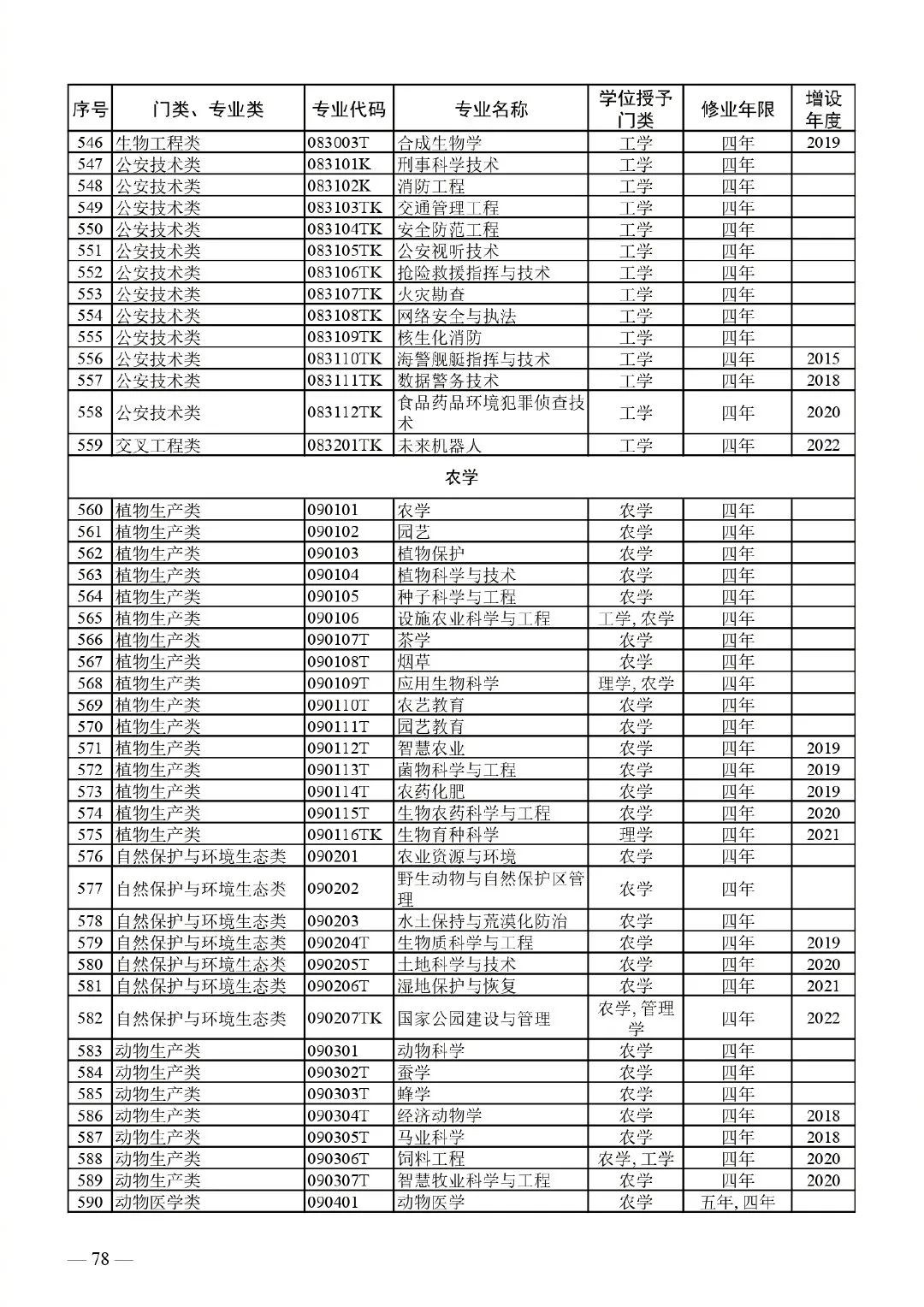
据了解,列入目录的新专业共21种,包括金融审计、国际法、司法鉴定学、工会学、家庭教育、孤独症儿童教育、数字人文、资源化学、地球系统科学、数据科学、生物统计学、生物材料、电动载运工程、飞行器运维工程、安全生产监管、未来机器人、国家公园建设与管理、医工学、乡村治理、航空安防管理、无障碍管理。
可以看到,很多新专业都是高校结合自身特色及社会需求所设立的,比如南京特殊教育师范学院新设立的孤独症儿童教育、无障碍管理专业,中国劳动关系学院新设立的工会学,中国民航大学新设立的飞行器运维工程、航空安防管理专业,东南大学新设立的未来机器人专业,中华女子学院新设立的家庭教育专业,广西警察学院新设立的司法鉴定学专业等等。
此次教育部还对部分高校申请撤销的925个专业点予以备案。开云(中国)小编在梳理撤销的专业点发现,信息管理与信息系统、公共事业管理、市场营销、产品设计、信息与计算科学等专业,申请撤销的高校较多,均超过20所;广告学、电子信息科学与技术、网络工程、测控技术与仪器、生物技术、酒店管理等专业,申请撤销的高校超过10所。此外撤销专业还包括旅游管理、自然地理与资源环境、电子商务等。

部分高校申请撤销的专业词频图
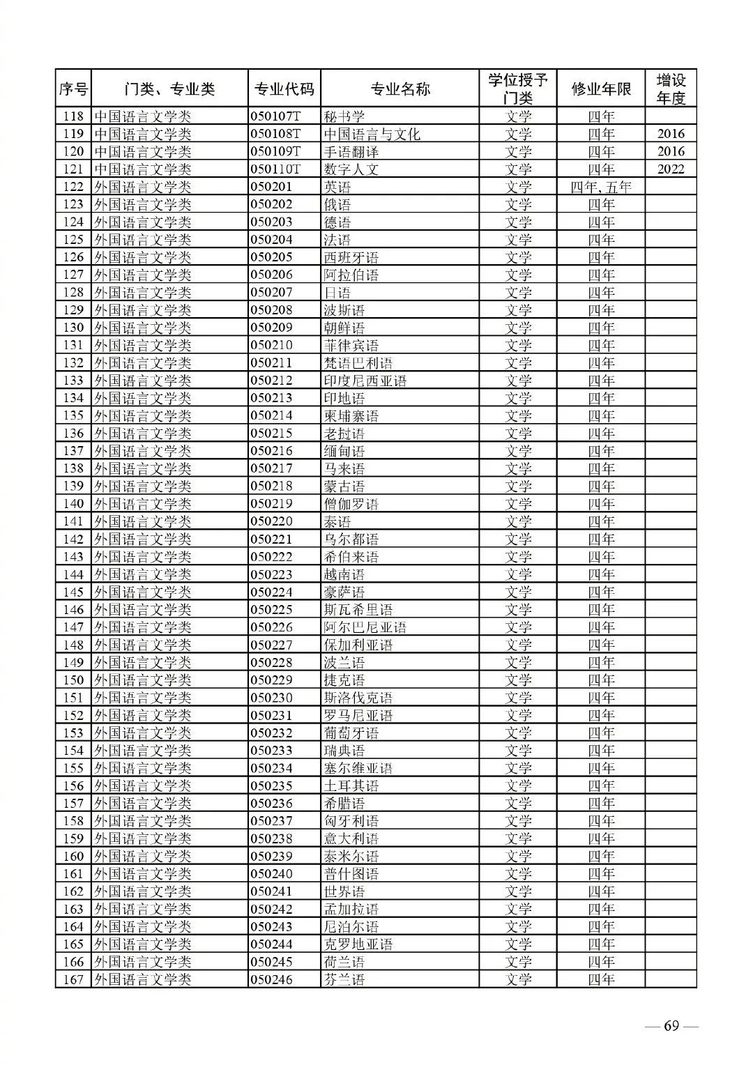
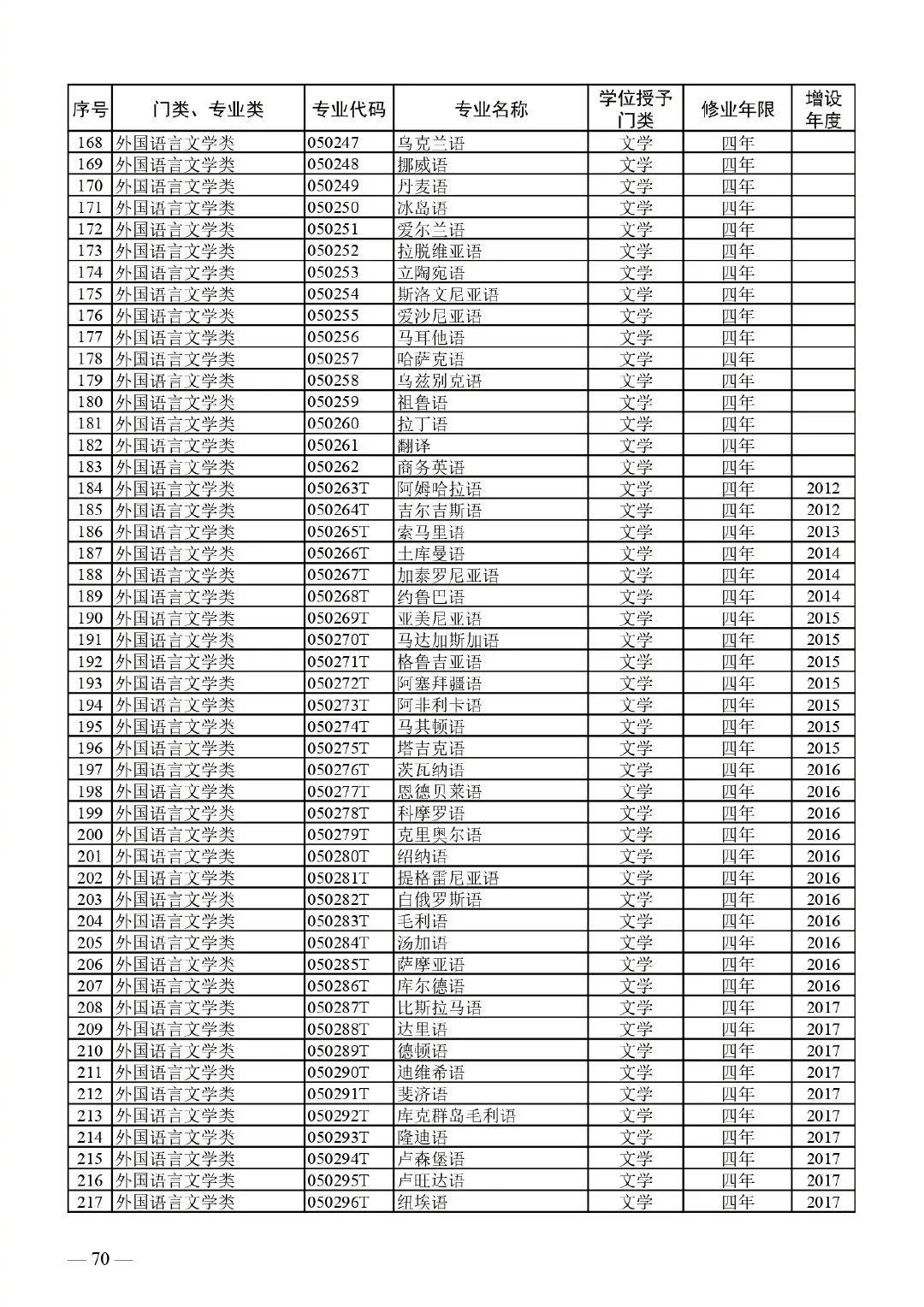
截至目前,本科专业目录共包含93个专业类、792种专业。


















这些新专业学什么?
在这次新增的专业中,孤独症儿童教育、无障碍管理专业引起很多网友关注当前我国孤独症学生的比例逐年上升,但孤独症教育的师资缺口大、人才专业化程度低,孤独症儿童教育基础相对薄弱。此外,我国的无障碍设施也还不能完全满足特殊人群的需求,无障碍环境建设水平参差不齐。
孤独症儿童教育专业面向孤独症专门学校、特殊教育学校、普通学校、特殊儿童康复机构等,培养适应当代孤独症教育事业发展需要,扎实掌握以孤独症为主的特殊儿童发展和教育理论,具备对孤独症及其他发展性障碍儿童开展课程教学及其他相关教育服务的基本技能,富有博爱精神的应用型人才。
无障碍管理专业则融合管理学、经济学、社会学、建筑学、信息学等多学科理论,培养系统掌握无障碍管理基本理论、方法和技术,熟悉国内外无障碍政策法规、技术规范标准,具有国际视野、无障碍理念以及公共精神和博爱情怀,能在无障碍环境建设相关政府部门、企事业单位、社会组织从事无障碍业务管理和综合管理工作的高素质、复合型、应用型专门管理人才。
此次新设立的工会学专业同样引起很多关注,中国劳动关系学院官微介绍,工会学专业课程中,专业必修课程共26门,涵盖《比较工会学》《工会组织与工会实务》《工会工作核心素养》《工会法》《中国工人运动史》等;专业选修课程共20门,最具学校特色的课程有:《工会学经典著作精读》《劳模学》《工运领袖与中国工运》《职工文化学》《全球化与工会前沿问题》等。
在科技浪潮之下,东南大学新设立未来机器人专业。此次,教育部首次在工学门类下增设交叉工程专业类,未来机器人专业即是“交叉工程类”下的首个专业。
在此次新增专业中,设立学校最多的新专业为生物统计学,有中国药科大学、广东医科大学等5所高校设立。生物统计学专业培养掌握统计学的基本思想、基本理论与研究方法、具有扎实的数学功底、计算机语言基础,生物学和医学领域知识背景,能够胜任生物、医疗、制药等相关领域机构统计基础理论研究和应用的复合型人才。
新专业怎么选?专家这样说
社会需求是学科专业设置的重要方向,近年来,随着社会新需求的出现,不少高校都会对大学专业适时进行调整。一批适应新技术、新产业、新业态、新模式的专业被不断设立,不适应经济社会发展的专业则被淘汰。
今年4月初,教育部等五部门还印发《普通高等教育学科专业设置调整优化改革方案》,提出到2025年,优化调整高校20%左右学科专业布点。
中国教育科学研究院研究员储朝晖表示,此次的专业调整应该也是依据方案要求作出的。客观上来说,方案的提出要解决两个问题,一个是招生问题,一个是就业问题,尽可能让高校专业设计跟就业及产业需求一致。
“未来高校还要面临一些新的趋势,比如接下来几年考生数量可能会减少,招录比也会发生变化,此外生源的变化也会带来考生学业成绩的变化,进而影响高校专业的调整。”储朝晖表示,根据方案,未来高校专业的调整力度应该还会加大。
如何看待新专业?21世纪教育研究院院长熊丙奇认为,学生选择新专业,需要多一分理性少一些盲从。很多考生和家长特别关注专业的“冷”与“热”,并片面地认为,开设学校多、招生规模大的专业就是“热门”。
理性选择“热门”,需要考虑至少三方面因素。一是本人的个性、兴趣。自己喜欢、感兴趣的就属于自己的“热门”。二是真实的社会需求。真正的热门专业是人才培养供给少于社会需求的专业,因此冷热门很容易“翻转”。三是高校的办学特色。同一类专业在不同学校中,会因是否具有办学特色而冷热不同。
以上资讯来源教育部、人民日报、中国新闻网及各大高校的官微,由开云(中国)小编整理发布,如涉版权请持权属证明与我们联系。
提示

确定